Zurück zur Übersicht

Addition und Subtraktion

Multiplikation und Division

 

Inhalt

Bruchterme gleichnennrig machen
Bruchterme addieren/subtrahieren
Aufgaben

Inhalt

 

Zwei (oder mehr) Bruchterme gleichnennrig machen

Wenn du 2 Bruchterme, welche unterschiedliche Nenner haben, addieren/subtrahieren möchtest, musst du sie zuerst gleichnennrig machen. Das funktioniert genau gleich wie bei normalen Zahlen. Der gemeinsame Nenner besteht ebenfalls aus dem kgV der einzelnen Nenner. Doch häufig musst du die Nenner zuerst faktorisieren, um die einzelnen Faktoren zu erkennen! Deshalb würde ich dir vor dem Beginnen empfehlen, einen Blick auf folgende 2 Kapitel zu werfen:

das kleinste gemeinsame Vielfache

Summenterme ausmultiplizieren und faktorisieren

Hier ein Beispiel:

Jetzt stellen wir fest, dass man den ersten Nenner faktorisieren kann. Es handelt sich um ein 3. Binom.

Und nun können wir das kgV direkt ablesen: (a + 1) (a - 1) Das ist unser gemeinsamer Nenner. Und damit alle Brüche diesen Nenner erhalten, müssen wir sie zuerst einzeln erweitern:

Jetzt sind alle gleichnennrig.

ACHTUNG: Die 1 nicht vergessen! Nackte Zahlen muss man ebenfalls in Brüche umformen, sonst kann man sie nicht zusammenzählen!


Gleichnennrige Bruchterme addieren/subtrahieren

Wir können nun alles auf einen einzigen Bruchstrich stellen und dann ausrechnen:

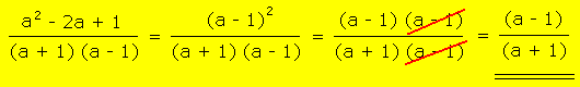
Hier entdecken wir ein weiteres Binom:

Und wir sind fertig!

Das mag dir jetzt alles etwas kompliziert erscheinen, doch das ist reine Übungssache. Es ist schliesslich noch kein Meister vom Himmel gefallen! *zwinker* Aber da alle diese Bruchterm-Aufgaben nach dem exakt gleichen Schema verlaufen, lässt sich das sehr gut üben!

 

Aufgaben

Addiere/Subtrahiere und kürze!

a)

b)

c)

 

Lösung

Seitenanfang